
Kdokoliv splnil svůj domácí úkol a spočetl si, kolik ze své superhrubé (sic!) mzdy odvádí ČSSZ a kolik bude činit součet těchto částek za celou jeho aktivní kariéru, se jistě zhrozil, o jak značnou sumu jde.
Odměnou za tyto peníze je nám důchod ve výši průměrně jen mírně přesahující deset tisíc Kč. Následující text je koncipován jako vysvětlení tohoto šokujícího nepoměru pro ty ze čtenářů, kterým nestačila intuitivní odpověď z minula, a také jako návod, kterak se obejít bez „cinknutých“ modelů expertních komisí a jak si doma sestavit funkční náhradu s pomocí součástek z učebnice matematiky pro šestou třídu.
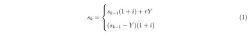
Nejprve se podívejme, jak bychom trpěli bez dobrodiní průběžného penzijního systému. Pro ten účel si ještě jednou označme objem soukromých penzijních úspor v nějakém roce jako s_k, reálný výnos jako i, roční příjem jako Y a poměr ročních odvodů a ročního příjmu (0.28) jako r. S určitými zjednodušeními pak opět platí následující vztah pro výši úspor před a po odchodu do penze.

Namísto přímého dosazení však se pokusme o odvození poněkud obecnějšího vyjádření situace v systému individuálního spoření. Východiskem dalších úvah nám budiž okamžik, kdy modelový zaměstnanec, který po n let dostával konstantní mzdu Y, odchází do penze. V té setrvá po dalších m roků, kdy naprosto vyčerpá svůj naspořený fond skrze platby důchodu D. Dále zavedeme symboly S pro celkové jeho úspory za aktivní kariéru a již známé i pro úrokovou míru. Protože jsme si výši penze D nastavili tak, že se skrze ni v průběhu let m vyčerpá celá našetřená částka S, platí následující vztah.
Tento výsledek lze snadno reprodukovat, postačí si pouze rovnici 1 rozepsat z hlediska roku odchodu do penze. Také je patrné, že rovnice 2 je v souladu se selským rozumem, v roce odchodu do penze naspořená částka S se ještě rozhojní o úrokové výnosy, ale toto jmění bude postupně erodovat výplatami důchodu. Potřebujeme ještě nějak vyjádřit S, k čemuž opět postačí rozepsat si posloupnost 1.
Dosazením do předchozí rovnice a úpravou získáme následující vystižení situace jednotlivého střadatele v systému individuálního spoření.
Obrázek 3 zachycuje maximální udržitelné poměry ročních penzí a mezd pro různé délky setrvání v penzi a různé úrokové výnosy, jestliže do vztahu 1 dosadíme 0.28 za poměr odvodů ke mzdám r a číslo 42 za délku trvání období ekonomické aktivity n. Právě proto, že se jedná o poměry, platí tento výsledek bez ohledu na absolutní výše penzí a mezd, v tom smyslu je tedy obecný.

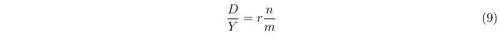
Položme si nyní prostou otázku. Kde v rámci průběžného systému můžeme najít cokoliv, co by připomínalo úspory? Odpovědí je nikde. Z odvodů mladých lidí jsou placeny penze lidí starých, vše je téměř okamžitě projedeno, žádné úspory neexistují. Logicky bychom proto měli očekávat, že průměrné výkony průběžného systému nedosahují ničeho vyššího než toho, co odpovídá modré křivce v grafu 3, tedy nulovému výnosu. Proto průměrný výplatní poměr D/Y v průběžném systému nemůže převyšovat ten, který získáme dosazením nuly za i v rovnici 4.
Verbálně-logický argument snad nemusí působit dostatečně rigorózním dojmem, naštěstí není nic snazšího, než jej podložit i formálně, a sice dokázat, že rovnice 5 skutečně situaci v PAYGO odpovídá. K tomu si ovšem musíme průběžný systém nějak popsat.
Zatímco individuální spoření je svého druhu rezervoárem, průběžný systém nic nepřipomíná lépe než vodovodní trubka. Na jednom jejím konci vtékají příspěvky aktuálně ekonomicky aktivních občanů počtu A a na druhém vytékají penze pro ekonomicky již neaktivní občany počtu N. Pokud nemáme někde prasklinu a pokud jde o „kapalinu“ nestlačitelnou, pak pro průměrné platy Y, průměrné penze D a nám již známý poměr r mezi mzdami a odvody platí následující zákon zachování objemu.
Malá úprava ukáže, jak kritický je poměr počtu ekonomicky aktivních plátců a počtu penzistů, za kterým se skrývá i dnes často zmiňovaná věková skladba populace.
Nyní je třeba nějak provázat veličiny A a N s počtem let, po která lidé průměrně pracují n a po která pobírají penzi m. K tomu bychom potřebovali znát přesné složení populace, například posloupnost {l_k}, jejíž jednotlivé členy představují počet žijících lidí o stáří k let. Potom A je prostě součet všech lidí (opomineme děti a mladistvé) před dosažením věku odchodu do důchodu, zatímco N je totéž pro žijící lidi nad touto věkovou hranicí. Rovnici 7 pak můžeme přepsat následujícím způsobem.
Tento průměrný výsledek by byl přesně roven individuálnímu, kdybychom eliminovali veškeré formy redistribuce. To si můžeme dovolit, jelikož redistribuce ze své podstaty nemění nic na skutečném výkonu průběžného systému, porcováním téhož koláče můžeme nanejvýš dosáhnout toho, že někteří budou syti více než jiní, ne však už lepšího nasycení všech strávníků. Nicméně abychom eliminovali opravdu veškerou redistribuci, musíme zvážit i jednu z jejích v souvislosti s průběžným systémem méně často zmiňovaných forem, to jest přerozdělování mezi krátkověkými a těmi, kdo se dožívají vysokého stáří. Stručně řečeno, musíme alespoň na moment přijmout velice nepřirozený předpoklad, a sice že se všichni dožívají stejného věku, že tedy nikdo nezemře dříve ani později než v průměrném věku, takže všechny členy posloupnosti {l_k} až do n + m jsou téže kladné velikosti, třeba q. Potom se sumy reprezentující skupiny A a N dají přepsat jednodušeji.
Je možné si to představit jako stříhání stuhy. Protože je všude stejně široká, pak poměr délek jednotlivých úseků je i poměrem ploch. V tomto myšleném stavu dokonalé rovnosti jsou průměry a individuální veličiny totožné, takže se navíc můžeme zbavit „pruhů“ nad proměnnými.
Tato rovnice je naprosto shodná s rovnicí 5. Tím jsme ukázali formálně, že průměrný výkon průběžného systému je skutečně ekvivalentní výkonu systému individuálního spoření za předpokladu pouze nulového výnosu uspořených prostředků, jak logická úvaha napovídala. Toto je skutečnost zcela nezávislá na odborné a politické vůli, žádnými parametrickými úpravami průběžného systému nelze dosáhnout zlepšení. Proto také všechny konkrétní příklady, kolik by si mohl jednotlivý člověk sám uspořit na svou penzi, vycházely v minulém dílu tohoto textu o tolik lépe. Nešlo tehdy rozhodně o nějaký kabaretní trik spočívající v dosazení „vhodných“ cifer, průběžný systém je obecně neefektivní, obecně horší.
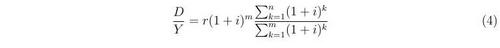
Z toho však neplyne, že by pro mnohé nemohl být velice, velice výhodný. Odstraňme například náš silně nerealistický předpoklad „homogenní“ populace, dosaďme za {l_k} reálnou populaci České republiky a podívejme se, jak by se průměrná výše penze mohla odvíjet v závislosti na věku odchodu na odpočinek, viz rovnice 8. Jak je patrné, výplatní poměr D/Y ve skutečné populaci může být i podstatně vyšší než dnes. Čím pozdější bude odchod do penze, tím více zbude na ty šťastlivce, kteří se toho věku vůbec dožijí, jejich důchody tak mohou být nepoměrně lepší než mzdy, kterých kdy dosahovali. Ovšem to jen těžko může být důvodem k radosti pro krátkověkou platící většinu a už vůbec nic to nemění na závěru, že průběžný systém je celkově nevýkonný.

Není tomu ale tak, že zatímco individuální spoření je skutečně lepším a výkonnějším penzijním systémem, děje se tak na úkor jisté skupiny obyvatel, kterou bychom mohli souhrnně označit za „věřitele“? Takové podezření je v souladu se sentimentem, který po celé věky pronásledoval praktické i teoretické debaty o fenoménu úroku a úročené půjčky. Laici i slovutní ekonomové se znovu a znovu zastávali laciného úvěru, často dokonce hovořili o „eutanázii rentiéra“ jako o podmínce dosažení zcela nové fáze hospodářského vývoje, kdy blahobyt bude všeobecný. Odpověď je přitom prosté ne.
Každá půjčka je zcela dobrovolná smlouva, ujednání přijaté oběma stranami v přesvědčení, že jde o zlepšení vůči stávajícímu stavu. Někdo disponuje penězi nyní a potřebuje jich více později, jiný zas potřebuje peníze nyní s tím, že bude schopen je splatit později. Fakticky se tedy směňují peníze a čas. A stejně jako směna současná, i ta intertemporální zvyšuje blahobyt všech zúčastněných. Vyšší míra ochoty „čekat“ znamená, že současná hospodářská produkce není okamžitě spotřebována, ale že je investována a produkuje nové a nové kapitálové statky. Skrze ně pak rostou produkční možnosti stále více, přebytek je opět uspořen a znovu investován, přičemž iteraci za iterací roste celkový výstup. Úspory, které umožňuje individuální penzijní systém, jsou proto motorem hospodářského růstu. Zcela korektně řečeno, bez současné abstinence nelze ani udržet stávající rozsah výroby, například nelze obnovit zařízení, opravit budovy, anebo vyškolit nový personál namísto pracovníků odcházejících do penze. K tomu všemu je třeba odložit díl, a to dosti výrazný díl, aktuální produkce. Z tohoto je patrné, že úrok je zaslouženou odměnou za tuto velice důležitou službu, bez které se naše materiální civilizace neobejde.
Protože základní charakteristikou průběžného penzijního systému je okamžitá konzumace odvodů, úspory nejsou tvořeny. To však znamená, že není generován z úspor odvozený hospodářský růst. Bez přehánění lze proto říci, že jsme vrženi daleko zpět do doby kamenné, kdy jediným způsobem zabezpečení vlastní budoucnosti bylo, vyjma hromadění fyzických zásob, plození dětí v naději, že ty snad své rodiče později zajistí. V těchto primitivních podmínkách fungoval fakticky průběžný systém, ovšem bez přerozdělování mimo pokrevní příbuzné. Oproti tomu rozvoj peněžní směny umožnil úspory uložit v kovu, anebo papíru, a získat výnos, protože nespotřebované zboží bylo efektivně využito k rozšiřování výroby a také k hledání a zakládání zcela nových výrobních programů. Jestliže se dnes nařízením vlády od této civilizační vymoženosti odvracíme, nelze se pak divit, že bohatství odpovídající rozdílu mezi výkony penzijního systému individuálního dle rovnice 4 a průběžného, viz rovnice 9, není vůbec vytvořeno!
Tím je osvětleno, proč by se každý z nás zajistil lépe, kdyby spořil sám na sebe. Ve světle výše řečeného lze také konstatovat, že pokračování průběžného systému v jakékoliv zásadně neredukované podobě nás staví před velice obtížnou volbu. Buď můžeme i nadále zavírat oči před tím, jak bídné penze naši penzisté dostávají a jak ubohé tečky za svými životy se dočkáme, anebo musíme proměnit tuto zemi ve svého druhu gerontokracii, kde úzká skupina dlouhověkých občanů si bude dobře žít z práce všech těch, kdo neměli to štěstí a zemřeli dříve, než dosáhli věku odchodu do penze. To jsou jediné dvě budoucnosti, které průběžný systém skýtá, všechny ostatní jsou z důvodů logických a matematických vyloučeny.







(3x známkováno, průměr: 2,33 z 5)